股票代码
首页
关于沃尔汇
产品中心
行业应用
技术支持
新闻资讯
联系我们
联系我们
简
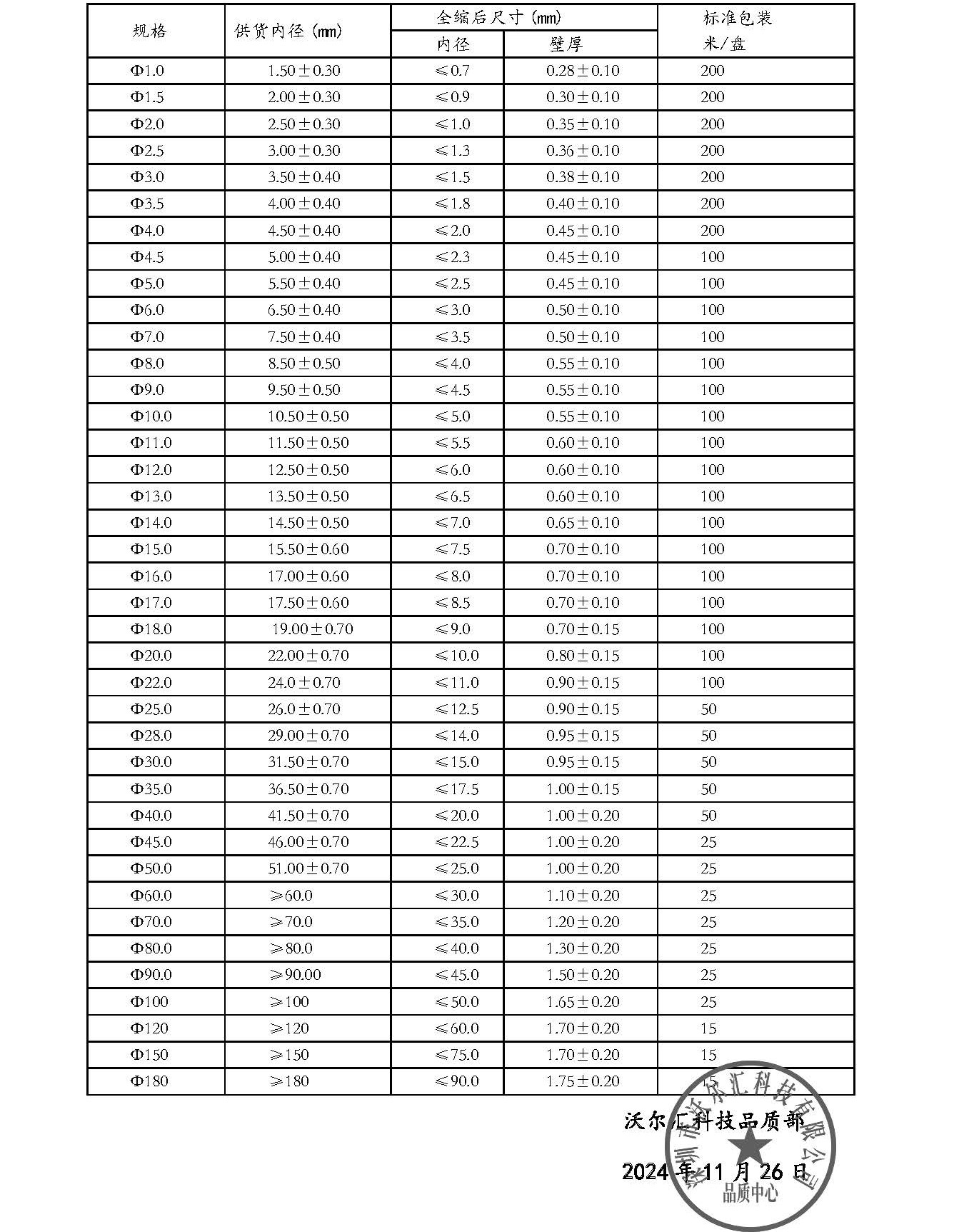
WEH-125°C黄绿热缩管
黄绿热缩管由环保聚烯烃材料双色共挤,经辐照改性加工制成。该产品具有柔软和高阻燃特点,颜色鲜明持久,性能稳定。产品具有黄绿相间的外观,广泛用于线束或电缆中地线的标识,特殊线缆和母线或管道的标识等。
咨询热线
在线咨询
产品详细
定制服务流程
沟通需求
选型推荐
测试打样
交付试用
效果反馈
优化定案
批量制造
启动售后
相关产品
WEH-125°C低烟无卤热缩管(H管)
低烟无卤热缩管,符合欧盟rohs,reach环保标准。2倍收缩倍率,绝缘防护效果更好。
WEH-SBRSW-NF半硬带胶厚壁热缩管
WEH-防滑鱼鳞纹热缩管
WEH-150°C 耐高温热缩管(H管)
15217046990/13434416946
guofei@woerhui.com.cn